# 01 基尔霍夫定理的内容是什么?
** 基尔霍夫电流定律:** 在电路任一节点,流入、流出该节点电流的代数和为零。
** 基尔霍夫电压定律:** 在电路中的任一闭合电路,电压的代数和为零。
# 02 戴维南定理
一个含独立源、线性电阻和受控源的二端电路 ,对其两个端子来说都可等效为一个理想电压源串联内阻的模型。
其理想电压源的数值为有源二端电路的两个端子的开路电压 ,串联的内阻为 内部所有独立源等于零时两端子间的等效电阻 。
# 03 三极管曲线特性

# 04 反馈电路的概念及应用
反馈,就是在电子系统中,把放大电路中的输出量(电流或电压)的一部分或全部,通过一定形式的反馈取样网络并以一定的方式作用到输入回路以影响放大电路输入量的过程。
反馈的类型有:电压串联负反馈、电流串联负反馈、电压并联负反馈、电流并联负反馈。
负反馈对放大器性能有四种影响:
提高放大倍数的稳定性,由于外界条件的变化(T℃,Vcc,器件老化等),放大倍数会变化,其相对变化量越小,则稳定性越高。
减小非线性失真和噪声。
改变了放大器的输入电阻 Ri 和输出电阻 Ro。
有效地扩展放大器的通频带。
** 电压负反馈的特点:** 电路的输出电压趋向于维持恒定。
** 电流负反馈的特点:** 电路的输出电流趋向于维持恒定。
引入负反馈的一般原则为:
为了稳定放大电路的静态工作点,应引入直流负反馈;为了改善放大电路的动态性能,应引入交流负反馈(在中频段的极性)。
信号源内阻较小或要求提高放大电路的输入电阻时,应引入串联负反馈;信号源内阻较大或要求降低输入电阻时,应引入并联系反馈。
根据负载对放大电路输出电量或输出电阻的要求决定是引入电压还是电流负反馈,若负载要求提供稳定的信号电压或输出电阻要小,则应引入电压负反馈;若负载要求提供稳定的信号电流或输出电阻要大,则应引入电流负反馈。
在需要进行信号变换时,应根据四种类型的负反馈放大电路的功能选择合适的组态。例如,要求实现电流 —— 电压信号的转换时,应在放大电路中引入电压并联负反馈等。
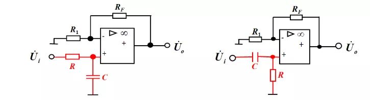
# 05 有源滤波器和无源滤波器的区别
无源滤波器:这种电路主要有无源元件 R、L 和 C 组成。
** 有源滤波器:** 集成运放和 R、C 组成,具有不用电感、体积小、重量轻等优点。
集成运放的开环电压增益和输入阻抗均很高,输出电阻小,构成有源滤波电路后还具有一定的电压放大和缓冲作用。
但集成运放带宽有限,所以目前的有源滤波电路的工作频率难以做得很高。
# 06 差模信号及共模信号
两个大小相等、极性相反的一对信号称为差模信号,差动放大电路输入差模信号(uil =-ui2)时,称为差模输入。
两个大小相等、极性相同的一对信号称为共模信号,差动放大电路输入共模信号(uil =ui2)时,称为共模输入。
在差动放大器中,有用信号以差模形式输入,干扰信号用共模形式输入,那么干扰信号将被抑制的很小。

# 07 场效应和晶体管比较
在环境条件变化大的场合,采用场效应管比较合适。
场效应管常用来做前置放大器,以提高仪器设备的输入阻抗,降低噪声等。
场效应管放大能力比晶体管低。
工艺简单,占用芯片面积小,适宜大规模集成电路。在脉冲数字电路中获得更广泛的应用。
# 08 基本放大电路的组成原则
发射结正偏,集电结反偏。
输入回路的接法应该使输入信号尽量不损失地加载到放大器的输入端。
输出回路的接法应该使输出信号尽可能地传送到负载上。
# 09 实现放大的条件
晶体管必须偏置在放大区。发射结正偏,集电结反偏。
正确设置静态工作点,使整个波形处于放大区。
输入回路将变化的电压转化成变化的基极电流。
输出回路将变化的集电极电流转化成变化的集电极电压,经电容滤波只输出交流信号。
# 010 功放要求
输出功率尽可能大
高效率
非线形失真小
晶体管的散热和保护
# 011 频率补偿
所谓频率补偿,就是指提高或降低某一特定频率的信号的强度,用来弥补信号处理过程中产生的该频率的减弱或增强,常用的有负反馈补偿、发射极电容补偿、电感补偿等。
# 012 放大电路的频率补偿
放大电路中频率补偿的目的有二:一是改善放大电路的高频特性;二是克服由于引入负反馈而可能出现自激振荡现象,使放大器能够稳定工作。
在放大电路中,由于晶体管结电容的存在常常会使放大电路频率响应的高频段不理想,为了解决这一问题,常用的方法就是在电路中引入负反馈。
然后,负反馈的引入又引入新的问题,那就是负反馈电路会出现自激振荡现象,所以为了使放大电路能够正常稳定工作,必须对放大电路进行频率补偿。
频率补偿的方法可以分为超前补偿和滞后补偿,主要是通过接入一些阻容元件来改变放大电路的开环增益在高频段的相频特性,目前使用最多的就是锁相环。
# 013 基本放大电路
** 放大电路的作用:** 放大电路是电子技术中广泛使用的电路之一,其作用是将微弱的输入信号(电压、电流、功率)不失真地放大到负载所需要的数值。
放大电路种类:
** 电压放大器:** 输入信号很小,要求获得不失真的较大的输出压,也称小信号放大器;
** 功率放大器:** 输入信号较大,要求放大器输出足够的功率,也称大信号放大器。
差分电路是具有这样一种功能的电路,该电路的输入端是两个信号的输入,这两个信号的差值,为电路有效输入信号,电路的输出是对这两个输入信号之差的放大。
设想这样一种情景,如果存在干扰信号会对两个输入信号产生相同的干扰,通过二者之差,干扰信号的有效输入为零,这就达到了抗共模干扰的目的。
# 014 甲类、乙类及甲乙类功放

# 015 试画出锁相环的方框图并简述原理
** 锁相:** 将相位锁住,把频率锁定在一个固定值上。
** 锁相环:** 将相位锁定的回路。
** 锁相环的组成:** 鉴相器 PD + 分频器 + 回路滤波器 LPF + 压控振荡器 VCO 等。
锁相环的工作原理:
压控振荡器的输出经过采集并分频;
和基准信号同时输入鉴相器;
鉴相器通过比较上述两个信号的频率差,然后输出一个直流脉冲电压;
控制 VCO,使它的频率改变;
这样经过一个很短的时间,VCO 的输出就会稳定于某一期望值。
基准信号:

鉴相器是一个相位比较电路,输入的基准信号和 VCO 输出的信号进行相位比较,输出一个代表相位差的误差信号,经过环路滤波器,滤除误差信号中的谐波和杂波成分,得到误差电压去控制 VCO,使压控振荡器的频率朝减小两信号频率差和相位差的方向变化,最终使 VCO 的输出信号频率等于基准信号的频率。
# 016 零点漂移
零点漂移,就是指放大电路的输入端短路时,输出端还有缓慢变化的电压产生,即输出电压偏离原来的起始点而上下漂动。
抑制零点漂移的方法一般有:
采用恒温措施;
补偿法,采用热敏元件来抵消放大管的变化或采用特性相同的放大管构成差分放大电路;
采用直流负反馈稳定静态工作点;
在各级之间采用阻容耦合或者采用特殊设计的调制解调式直流放大器等。
# 017 频率响应
** 频率响应:** 通常亦称频率特性,频率响应或频率特性是衡量放大电路对不同频率输入信号适应能力的一项技术指标。
在放大电路中,由于电抗元件 (如电容、电感线圈等) 及晶体管极间电容的存在,当输入信号的频率过低或过高时,放大电路的放大倍数的数值均会降低,而且还将产 生相位超前或滞后现象。
也就是说,放大电路的放大倍数 (或者称为增益) 和输入信号频率是一种函数关系,我们就把这种函数关系成为放大电路的频率响应或频率 特性。
实质上,频率响应就是指放大器的增益与频率的关系,通常讲一个好的放大器,不但要有足够的放大倍数,而且要有良好的保真性能。
即:放大器的非线性失真要小,放大器的频率响应要好,“好” 指放大器对不同频率的信号要有同等的放大。
** 产生频率响应的原因:** 一是实际放大的信号频率不是单一的;二是放大器具有电抗元件和电抗因素。
由于放大电路中存在电抗元件(如管子的极间电容,电路的负载电容、分布电容、耦合电容、射极旁路电容等),使得放大器可能对不同频率信号分量的放大倍数和相移不同。
如放大电路对不同频率信号的幅值放大不同,就会引起幅度失真;如放大电路对不同频率信号产生的相移不同就会引起相位失真。
幅度失真和相位失真总称为频率失真,由于此失真是由电路的线性电抗元件(电阻、电 容、电感等)引起的,故不称为线性失真,为实现信号不失真放大所以要需研究放大器的频率响应。
放大电路的频率响应可以用幅频特性曲线和相频特性曲线来描述,如果一个放大电路的幅频特性曲线是一条平行于 x 轴的直线 (或在关心的频率范围内平行于 x 轴)。
而相频特性曲线是一条通过原点的直线或在关心的频率范围是一条通过原点的直线,那么该频率响应就是稳定的。
改变频率响应的方法主要有:
改变放大电路的元器件参数;
引入新的元器件来改善现有放大电路的频率响应;
在原有放大电路上串联新的放大电路构成多级放大电路。
# 018 晶体管工作在放大区

# 019 接收机为什么要加 AGC 电路
接收的信号有强弱变化,悬殊较大,若不加 AGC 将使输出起伏较大,影响效果。
为了能接收微弱信号,接收机的放大量总是做得较大,即灵敏度高,但接收强信号时,若不对通道的放大量进行调控,将产生不良后果。
# 020LC 正弦波振荡器
电感三点式振荡器和电容三点式振荡器。

# 021 差分运放进行相位补偿
随着工作频率的升高,放大器会产生附加相移,可能使负反馈变成正反馈而引起自激,进行相位补偿可以消除高频自激。
相位补偿的原理是:在具有高放大倍数的中间级,利用一小电容 C(几十~几百微微法)构成电压并联负反馈电路,可以使用电容校正、RC 校正分别对相频特性和幅频特性进行修改。
# 022 差分电路求共模分量和差模分量
设共模分量是 Yc,差模分量是 Yd,则可知其输出为:
Y+=Yc+Yd
Y-=Yc-Yd
# 023 放大器的输入电阻及输出电阻
在放大电路中,通常希望放大电路的输入电阻高,因为这样对信号源的影响小。
从放大电路的输出端看进去,放大电路可等效成一个有一定内阻的信号源,信号源的内阻为输出电阻,通常希望其值越小越好,因为这样可以提高放大器带负载的能力。
# 024 直流稳压电源原理
功能:
把交流电压变成稳定的大小合适的直流电压。

电源变压器: 将交流电网电压 u1 变为合适的交流电压 u2。
整流电路: 将交流电压 u2 变为脉动的直流电压 u3。
滤波电路: 将脉动直流电压 u3 转变为平滑的直流电压 u4。
稳压电路:
清除电网波动及负载变化的影响,保持输出电压 uo 的稳定。
# 025 集成运放电路的组成

偏置电路:
为各级放大电路设置合适的静态工作点,多采用恒流源电路。
** 输入级:** 常为差分放大电路,要求 Ri 大 Ad 大 Ac 小,输入端耐压高,它有同相和反相两个输入端。
** 中间级:** 主放大级常为共射放大电路,多采用复合管,要求有足够的放大能力。
** 输出级:** 功率级,多采用互补功放电路或射极输出器,要求 Ro 小,最大不失真,输出电压尽可能大。
# 026 有源滤波器
一阶有源低通滤波器和一阶有源高通滤波器。

# 027RC 振荡器的构成和工作原理
正弦波振荡电路的组成:
放大电路:放大信号
反馈网络:必须是正反馈,反馈信号即是放大电路的输入信号
选频网络:保证输出为单一频率的正弦波即使电路只在某一特定频率下满足自己震荡条件
稳幅环节:使电路能从 ½AuF½ >1 ,过渡到 ½AuF½ =1,从而达到稳幅振荡。

